Designed to explore. Not just to validate.

The real challenge today is not only accuracy, it is also coverage.

What used to be a handful of simulations becomes hundreds or thousands of automated runs, with results you can compare and trust.

SIMBA gives every power electronics team the ability to explore their full design space: Monte-Carlo robustness, parametric sweeps, mission profiles, and BOL/EOL aging at a scale that changes design decisions. Same team. Same deadline.

The reality gap

Nominal is not enough. Reality isn't.

Your converter is designed at nominal conditions: 25°C ambient, rated voltage. It passes simulation. It passes bench testing. Then it ships and meets the real world.

In the field, ambient is −40°C to +85°C. Bus voltage varies by ±15%. Component tolerances are real. After 10 years, Rdson of MOSFETs has drifted, capacitances have aged, gate thresholds have shifted. The nominal design point you validated is one of thousands of conditions your converter will actually face.

With classical tools, you pick 3 or 4 representative cases and hope they cover the space. With SIMBA, you don't choose. You run them all.

Operating points validated: before vs. with SIMBA
Classical approach
3-5 representative points
3 / ~200
With SIMBA
Full space coverage
1000+
The consequence
Every field failure that happens outside the validated operating range was actually predictable. SIMBA lets you find the worst case before hardware does.
Different analysis. One platform.

Every dimension of your design space. Covered.

Each of these examples answers a different question about your design's behavior under real-world conditions.

Analysis 01 - Robustness
Monte-Carlo Analysis
Evaluate the influence of component tolerances on your converter's behavior. Define nominal values and tolerance ranges, then let SIMBA run thousands of combinations in parallel and show you the full distribution of outcomes.
1000
iterations
in 14 minutes
on 4 cores
Rdson ±10% Rg ±10% Capacitances Threshold voltage
Monte Carlo parallel MOSFETs result
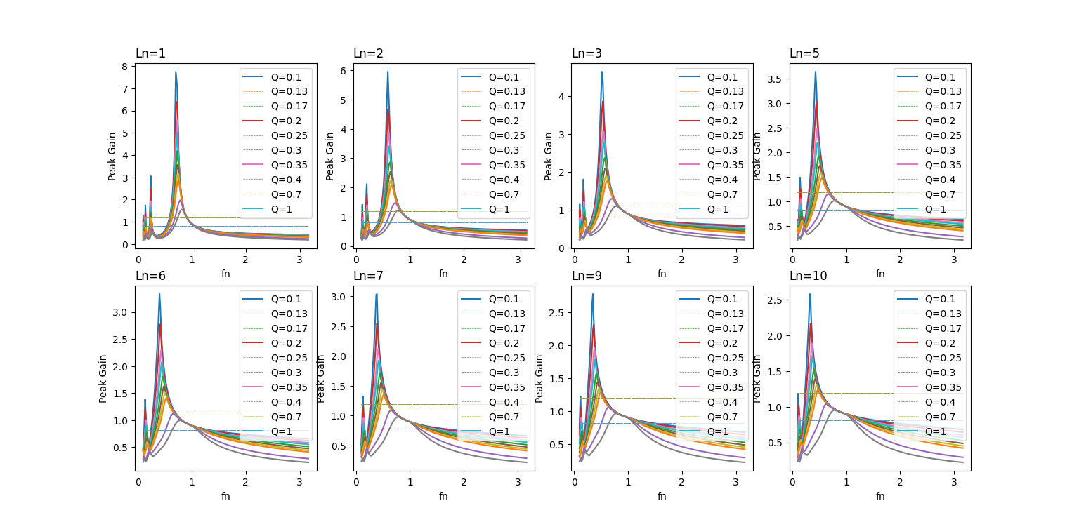
Analysis 02 - Optimization
Parametric Sweep
Sweep any circuit parameter across a range of values and track any output metric: efficiency, Tj max, ripple, or losses. Find the optimal design thanks to a single automated run.
8000
iterations
Switching frequency DC voltage Resonant tank values
LLC converter parametric sweep curves
Analysis 03 - Mission
Mission Profile Simulation
Simulate your converter over a real operating cycle such as a WLTP drive cycle, aerospace mission profile, or industrial duty cycle. Get the full thermal history, cumulative losses, and worst-case junction temperature over time.
2min
for 7-min WLTP
100kW PMSM · SiC
24 cores · DSET
WLTP drive cycle Aerospace Industrial duty Custom CSV
Mission profile drive-cycle summary
Analysis 04 - Efficiency Map
Efficiency Map
Evaluate mechanical, electrical, and thermal performance across a dense grid of operating points. Build a full efficiency map of your electric drive unit and identify where losses concentrate before you touch hardware.
225
operating points
electric drive unit
mapped automatically
Speed / torque grid Drive efficiency Thermal behavior Motor + inverter
Efficiency map for an electric drive unit
Analyses 05 - Powerswitch Reference
Choose the right powerswitch reference
Evaluate different powerswitch references and compare their losses, their junction temperatures, even for different switching frequencies...
9
switch references
compared side by side
same operating point
Switching frequencies Powerswitch reference
Powerswitch reference losses comparison
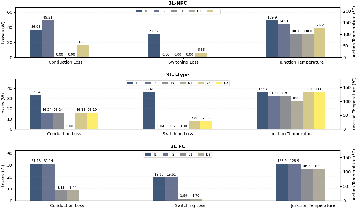
Analyses 06 - Benchmark Topologies
Compare 3-Level inverter topologies
Neutral Point Clamped (NPC), T-type or Flying Capacitor (FC) topologies have their own advantages and drawbacks, depending on operation points, modulation strategies and switching frequencies.
12
strategy / frequency
combinations across
two operating points
Switching frequencies Modulation strategies Operating points
Benchmark topologies losses and temperature comparison
And more....
Sensitivity Analysis
Rapid sensitivity analysis through systematic variation of key parameters to quantify their impact on system performance and identify critical design drivers.
Fault Analysis
Comprehensive fault analysis via simulation of abnormal operating conditions, enabling assessment of system robustness and validation of protection strategies.
Beginning Of Life (BOL) / End Of Life (EOL)
BOL and EOL studies based on modeling of component aging and parameter drift, allowing evaluation of performance over the system's lifetime.
Optimization
Accelerated design optimization through exploration of large parameter spaces to identify optimal configurations meeting performance, efficiency, and reliability targets
Two ways in. Same results.

Whether you code or you don't, SIMBA scales to you.

Running 1000 simulations in parallel should not require a software engineering degree. SIMBA offers two paths to the same outcome: a native Python API for teams who want full programmatic control, and an AI Assistant for engineers who want to run complex analyses without writing a single line of code.

⟨/⟩ For engineers who code
Python API

Full programmatic access to the SIMBA simulation engine. Define sweeps, run parallel batches, and post-process results directly in Python. Integrates with your existing scientific stack.

Native multiprocessing that scales with available cores
Results as pandas DataFrames for analysis and reporting
Runs in Jupyter, CI/CD, HPC clusters, and cloud workflows
Linux and Windows support through an independent module
montecarlo_parallel_mosfets.py
import simba, multiprocessing, numpy as np # 1000 iterations · Rdson + Rg variation ±10% iterations = range(1000) params = { "Rdson": {"nominal": 60e-3, "tolerance": 0.1}, "Rg": {"nominal": 20, "tolerance": 0.1} } # Parallel execution, auto-scales to available cores Pool = multiprocessing.Pool(simba.get_available_cores()) results = Pool.map( simba.run_with_params, simba.generate_samples(params, iterations) )
1000 simulations · 4 cores · 14 minutes Full Rdson + Rg distribution analysis on parallel MOSFETs
For engineers who don't code
SIMBA AI Assistant

Describe what you want to analyze in plain language. The AI Assistant translates your intent into a complete simulation campaign with parametric sweeps, Monte-Carlo, and mission profiles, without requiring you to write Python.

Describe your analysis in plain language
AI generates and runs the simulation script
Results displayed and interpreted automatically
No Python knowledge required
SIMBA Assistant
● Online
Run a Monte-Carlo on my buck converter with ±20% variation on L and C. I want to see the worst-case output ripple over 500 iterations.
Analysis configured Running 500 iterations with L nominal ±20% and C nominal ±20% using a uniform distribution. Tracking output voltage ripple peak-to-peak. Launching parallel execution on 8 cores...
Results ready - 4m 32s Worst-case ripple: 48.3 mV versus 22.1 mV nominal. 3.2% of iterations exceed your 40 mV spec. Showing the distribution and critical combinations.
Same analysis. No code required. The AI Assistant generates, runs, and interprets the simulation campaign for you.